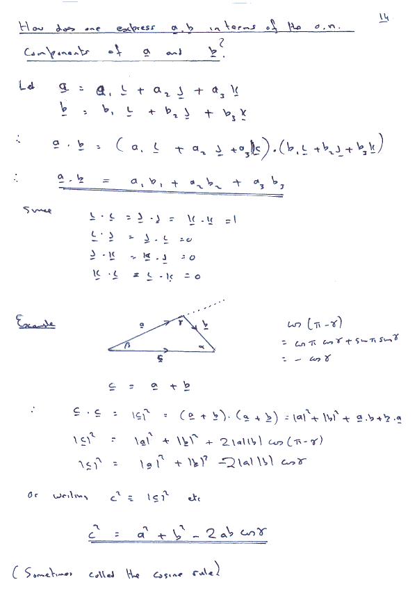
Lecture notes: pages 11 - 16







Back to index page

10.01.2000