Lecture 14


For the discussion of classical motion of electrons in a magnetic field, see
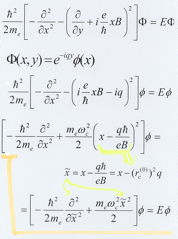
Lecture 16a








Back to index page

4.11.2010